2026/03/31
Patentix株式会社
Patentix 株式会社(以下「当社」)は、次世代パワー半導体材料のルチル型二酸化ゲルマニウムの薄膜にアクセプタ不純物をイオン注入することでp型のSBD特性を確認しました。
【背景】
ルチル型二酸化ゲルマニウム(r-GeO2)は、炭化ケイ素(SiC)や窒化ガリウム(GaN)よりも大きなワイドバンドギャップ(4.68eV)を有する次世代のパワー半導体材料の候補です。さらに、他の超ワイドバンドギャップ半導体材料候補では困難な、不純物ドーピングによってp型とn型の両方を実現可能であると理論的に予測されたことから近年大きな注目を集めてきました。しかしながら、r-GeO2のp型伝導は未だ理論的に予測されている段階にとどまっています。
当社は2025年の7月に、アクセプタ不純物を導入したr-GeO2膜において、p型を示唆するC-V特性が得られたことを報告しています。一方、p型伝導の確実な実証には更なる追加データを積み重ねる必要があります。
【成果】
今回、当社は独自開発した成膜技術であるPhantom SVD法により、ルチル型二酸化チタン(r-TiO2)(001)基板上にr-GeO2薄膜を作製、イオン注入プロセスでアクセプタ不純物を膜中に導入し、活性化アニールを実施しました。r-GeO2膜表面に金属電極を形成することで、その電気特性を評価しました。図1に作製・評価したサンプルの外観を示します。活性化アニールを実施したことでr-GeO2膜表面にクラック(結晶膜の亀裂)が発生しています。

図1. (a)アクセプタイオンを注入したr-GeO2サンプルの外観 (b)断面模式図
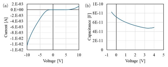
形成された二つの電極間(円形の小さな電極と周辺の大きな電極)で、I-V特性とC-V特性を測定・評価を行いました。図2(a)にI-V特性、(b) C-V特性を示します。

図2.作製したサンプルの(a) I-V特性, (b) C-V特性
I-V特性を見ると、円形の電極に負の電圧を印加することで大きな電流が流れ、逆に正の電圧を印加した場合は電流が流れにくい特性(ダイオード特性)を示しています。これはr-GeO2膜中で、正孔がキャリアとなる電気伝導が起きている(p型伝導)ことを示唆しています。また、図2(b)に示す通り、C-V特性からもp型の特性が確認できます。
一方、同一基板上に形成した他のテストパターンの中には、p型を確認できないものも混在しており、安定性・再現性の向上が課題となっています。
【将来展望】
Patentixは引き続きr-GeO2におけるp型伝導の確実な立証に向けて研究開発を継続します。特にHall効果測定によるp型の確認と正孔移動度の測定、およびpn接合の実現が最重要の課題として残されています。今後、結晶品質の向上や活性化アニール条件の探索などを行い、r-GeO2のp型伝導の実証を目指してまいります。
以上